A501裝機報告 Ready--Camera--Action!! LUXKIT A-501 by Coffin
 
  • 歷時一年多,耗資千萬(幾千到萬餘),震古鑠今的巨作---LUXKIT A501,終於殺青了!! 媽的ㄌㄟ∼∼∼
  先說廢話
 
  • 這套套件,真的搞了一年......昨天裝好,把原來的紙箱拿去回收時,特別看了一下黏在紙箱上的宅配的寄送單,是1月13日寄出----去年的一月.....很沒力說∼∼
 
  • 希望以後DS的套件,能夠控制好時程,否則一箱東西放一年,差不多也變成了垃圾。
 
  • 不過再現A501真的是一個了不起的點子,組裝起來,真的有“自己裝的成就感”!而且在這個套件中,必須要步步細心,檢查再檢查,裝機說明中的文字一定要反覆推敲對照,才不會有出錯的機會,也讓沒耐性的我學到很多。感謝DS為大家弄出這麼好的東西,在此小弟一orz!
   
  A501組裝及裝箱說明
 
  • 首先,你手邊必須有所有的說明文件:
  • 1.宜偉的LUXKIT A501中文組裝說明書。
  • 2.Masayoshi跟李站長的A501裝機調整手順補充說明。
  • 3.零件表,pdf檔案
  • 4.宋長波先生的“裝一部LUX A-501後級(按我下載)”跟林英風先生的“LUX A-501後級電路說明”(按我下載)。
 
  編註:上圖:所需的資料
 
  • 其次,手工具跟材料是必備的:
  • 1.60W烙鐵/40W烙鐵
  • 2.焊錫
  • 3.吸錫器
  • 4.尖嘴鉗
  • 5.斜口鉗
  • 6.剝線鉗
  • 7.雙芯隔離線/單芯隔離線
  • 8.粗的多芯線/各色細多芯線/熱縮套/束線帶
  • 9.電源插頭以及電源線(測試變壓器用)
  • 10.鎖電容用接頭/螺絲/墊片
  • 11.散熱膏
  • 12.M3螺絲10mm/20mm/螺帽;5mm/10mm/15mm銅柱
  • 13.M4螺絲20mm/螺帽
  • 14.M5螺絲20mm/螺帽/墊片
  • 15.螺絲起子/內六角起子/一字小起子(調整偏流用)
  • 16.8/11/12/15mm扳手
  • 17.三用電表(最好有溫度計)
  • 18.電鑽/鑽針組
  • 19.倒角刀/擴孔器/銼刀
  • 20.其他便利用品(小盒子/垃圾桶/尺/鉛筆/白紙/報紙.....)
 
  上圖:CB-A501M電路板
 
  上圖:CB-A501P功率板
 
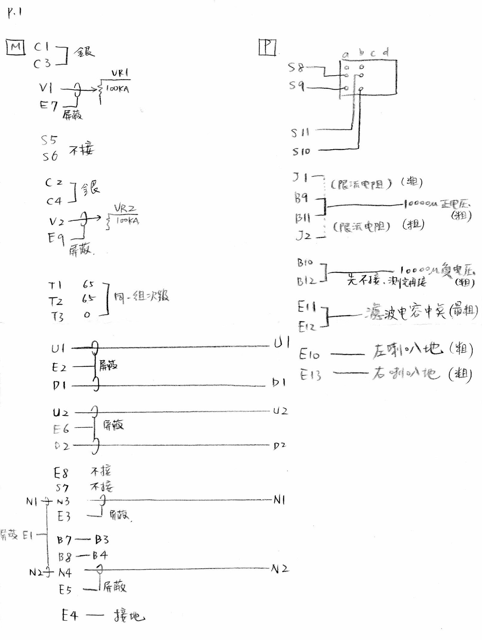
  • 首先讓我們回顧一下CB-A501M跟CB-A501P的焊接注意事項。
  • 1. PCB板上的標示“D”的位置,請裝上1N4148。
  • 2. KB265請用2個1N4148串接即可。
  • 3. STV-3H用3個1N4148串接即可。請記得先將三顆串接後,用6cm左右的不同顏色多芯線(區分極性)將兩端延長,再用熱縮套整個包起來。4148的黑色線條,必須對CB-A501P板子上的白圈。
  • 4. 1S953及US1070都用1N4148代用,此為偏壓二極體。
  • 5. CB-A501M板上靠近relay的1N4004極性標示錯誤,請反裝。(這裡害小弟燒了一顆2SC2235)
  • 6. 1K188以1N60取代。
  • 7. 2SK150(CB-A501M板上是標K150)利用零件包上的2SK30A BL級2個代用,CB-A501M接腳標示由白色方塊起為:D-G-S-空接-S-G-D
  • 8. CB-A501P板部分的B10&B12先不連接,以免燒晶體。
  • 9. 套件包內的接線柱,似乎不夠,小弟在台北市德昌補購。
  • 10.記得插上NE5532雙OP。小弟用的是OPA2132P。
  • 11. 不依線路圖裝機,失敗率極高!
 
  檢查一下CB-A501M板背面的電解電容跟積層電容,是否因為擺太久,拿進拿出而脫落
 
  上圖:背板的33pf
 
  • 此時,請讓我們檢查一下,要連接在機箱上的所有接頭跟開關。根據原始文件,必須有電源開關一個,2段6接點的切換開關一個(橋接用),2段12接點的開關一個(切換A/AB類用),LED一個,保險絲座一個,電源inlet一個,RCA端子紅黑各一,喇叭端子紅黑各二,100KA音量兩個,10A四刀雙擲relay一個。小弟只有一部機器,不用橋接,所以2段6接點的切換開關不用;通常使用前級,所以100KA音量不用,這可以看個人需要來調整。不過其他的物品,DS套件沒有附在裡面的,小弟自行於電子材料行購買補齊。
 
  自行購買的Relay跟12P2段搖頭開關
 
  • DS的機箱,應該都開好了孔位,小弟拿到的是樣品箱,背板上沒有喇叭端子的孔位。再者樣品箱的RCA孔位太靠近電源,所以我自行在背板上開了兩個RCA孔跟四個喇叭端子孔,孔徑都是10mm。另外我並未購買DS提供的RIFA電容,手頭上有的適合的是ROE 17000μF/80V電容,直徑大很多,所以也必須自行開孔。我就借用原來開給電容跟腳座跟整流子的孔位,再加開一兩個4.5mm孔。
 
  RCA輸入跟喇叭端子
 
  AC輸入跟保險絲座。左上方是樣品箱開的RCA孔位。
 
  • 另外一件要在裝箱之前做的事情,就是量測變壓器的極性。此事非常重要!原始套件,在20-0-20這兩組次級,以6個顏色標示了不同的極性;DS的變壓器卻沒有標示出來,這個接錯了,相當於硬把兩組不同極性的次級並聯在一起,是會燒變壓器的!
  • 1. 請將不用測量的65-0-65跟22-0-22兩組次級,線頭都用電氣膠布絕緣起來。
  • 2. 將紅橘線纏繞,接電源線的一端,將灰黑線纏繞,接電源線的另一端。
  • 3. 兩組20-0-20的線頭各自分開,不要接觸到。
  • 4. 拿出三用鱷魚夾,將測試線(一端有鱷魚夾的)接上鱷魚夾,鱷魚夾紅端接其中一條白色,黑端接另一組次級的其中一條紫線。將兩組次級的藍線跟灰線纏繞在一起。電表打到AC200V檔。
  • 5. 此時,將插頭插入電源插座。電表如果顯示0V,表示這一條白線跟這一條紫線的極性是相同的,請下電,用黃色膠帶或黃色熱縮套把這一條白線跟這一條紫線標示。
  • 6. 將其中黑色測試線接到同一組次級的另一條紫線,過一分鐘後上電。此時電表應該會顯示40V左的AC電壓。
  • 如果細心一點,可對照原廠說明書的顏色標示,用熱縮套將白黃-藍-白標示成綠-黑-藍;將紫黃-灰-紫標示成橘-棕-紅。
 
  • 接下來,開始把所有組件裝上機箱。先裝上背板的IEGO電源座,保險絲座,喇叭端子,RCA端子,並用扳手等工具將之鎖緊。接下來,先將變壓器底部貼上避震墊,然後先不要鎖上,先將電源座,保險絲座,變壓器間的引線先焊好,把所有該絞合的線絞起來,並且引出電源開關的配線之後,才可以鎖上變壓器。22-0-22跟65-0-65的次級引線完全不夠長,請自行用多芯線延長並做上顏色標記。
 
  固定電容
 
  頂視圖,螺絲是M5黃銅的
 
  • 再來把大濾波電容固定,請注意電容的極性。
  • 再來把橋式整流取出,因為該橋整標示不清,所以請用三用電表的二極體檔,量測橋整的極性。對照電表的標示,找出兩個橫線的交點,就是V+;兩個三角形的交點,就是V-,另外兩組是AC。
  • 然後把泡綿雙面膠裁切適當大小,黏在四刀雙擲的relay底部,將relay黏在機箱底板上的適當位置。我因為自己重新開孔,所以這些組件的位置,大致按照原始裝機圖的配置來安裝。
 
  • 安裝CB-A501P板時,必須要把散熱片放在一起觀察,決定兩者的高度。
  • CB-A501P板子加上5mm的銅柱之後,如果在板子跟散熱銅塊間墊上一個8mm左右的墊塊,散熱鰭片底部離底板的高度差不多就是15mm,所以只要能找到適合高度跟大小的墊塊即可。
  • 墊塊的目的是讓PCB跟散熱銅塊中間有空隙,便於銅塊散熱,也避免A類的高熱把PCB破壞。再來,把散熱膏均勻地、薄薄地塗抹於散熱銅塊鎖螺絲的兩面,把雲母片浮貼上去,
  • 然後把2SC3519/2SA1836功率晶體的背面也均勻地、薄薄地塗上散熱膏,然後用15mm的M3螺絲暫時將功率晶體固定於散熱銅塊上,先不鎖死。然後,把8mm墊塊墊在散熱銅塊跟CB-A501P之間,把功率晶體的腳一個個對準插入CB-A501P板子上,此時一定要確認功率晶體的位置是否正確,A1386要對板子上的A1386,C3519對C3519。接腳插好,把CB-A501P板子,墊塊跟散熱銅塊壓好,把所有功率晶體的腳焊上,然後抽出墊塊,再把功率晶體鎖上。
  • 手上有STV-3H的也在此時把它鎖在最靠近的功率晶體上;使用SV-03或是1N4148X3的,請準備散熱膠,把它黏在銅塊上,並且施加一些壓力把它跟銅塊密合。再來把5mm的銅柱鎖上PCB,15mm的銅柱加上墊片鎖上散熱鰭片後方的兩個孔位,把這整組固定在機箱底板上。
 
  暫時固定功率晶體
 
  與CB-A501P保持距離
 
  焊好晶體後要鎖緊
 
  STV-3H固定好,記得要抹散熱膏
 
  • 用6根10mm的銅柱,鎖在CB-A501M上,然後請按照原始裝機手冊的方向安裝,也就是relay靠向機箱前方,驅動級靠機箱後方。樣品箱的孔位剛好相反,希望成品箱已經解決。(編:樣品與正式出貨的孔位已經修正)
 
  • 如此,大部組件已經完成安裝固定的工作。還需要開孔的只有正面的電源開關,A/AB類選擇開關以及LED開關。請按照您手上有的零件開好適當孔位。
 
  所有組件固定好的配置圖
  接線
 
  • 此處請嚴格的按照原始裝機手冊的安裝步驟,一步一步地安裝起來。若是不安裝100KA音量,請直接從RCA座接進V1/E7跟V2/E4即可。四刀雙擲Relay請選用10A品種,注意它的接點圖示,對照電路圖檢查一次。
 
  • Switch的部份,可以參照電路圖,自行畫出。電路圖上switch連接的狀態,是非橋接AB類,由此我們可以畫出AB類的狀態:
 
  如上圖所示,撥鈕往下就是AB類;反之,撥鈕往上,就是A類
 
  上圖是橋接的撥鈕圖,連接線請自行補上 。可以看到撥鈕往下非橋接時,兩條線是斷路的。所以若是用不到橋接功能,就不須裝上此switch。
 
   
 
   
 
   
 
   
 
   
 
   
 
   
 
   
 
   
 
   
 
   
 
   
 
  • 另外你也可以參考下面的對照圖,便於檢查所有連接線的狀態。
 
  按小圖可看大圖
 
  按小圖可看大圖
  測試
 
  • 請參照Masayoshi兄的文章,裡面步驟很清楚。記得2個47KVR先暫時調整在中間位置,A-I跟AB-I都順時鐘轉到底。
  • 1. 在B10/B12不連接的情況下,上電,看保護電路是否正常。因為M板的一個1N4004標示錯誤,害我誤以為我裝錯了,或是relay電壓不足,結果燒了2SC2235,讓我把大部分保護電路的晶體都換掉,才看到討論區的舊文章有提及,真是……#$%^@#%^&*
  • 2. 量測B1對E4,應有+90VDC上下,B2對E4有-90VDC上下。
  • 3. 量測B3對E4有+70VDC上下,B4對E4有-70VDC上下。
  • 4. 量測完畢關閉電源,將B10&B12接上,並在B9-J1//B11-J2間各接上10R 1/2W限流電阻。此時小弟又疏忽掉,未將B10/B12負電壓接回去,所以一直量不到偏流…….氣死……
  • 5. 將搖頭開關轉到AB類,上電
  • 6. 調整AB-I 左右聲道2個VR,反覆調整偏流,至限流電阻兩端電壓為1.6VDC
  • 7. 調整完畢關上電源,將10R限流電阻取下,換上0.47R 5W限流電阻,將切換開關置放於class A
  • 8. 上電調整A-I 2個VR,反覆調整偏流至限流電阻兩端電壓為0.6V。有溫度計的可以靜待15分鐘後量一下散熱片的溫度,小弟量到的是98℃,此時晶體表面已經是102℃!小弟不敢造次,把電壓調到0.47V,也就是1A的偏流,溫度才稍稍下降。
  • 至此測試算是完成了。
  • 最後,把電源開關鎖上面板,A-AB類開關鎖上,3mmLED塞進面板上另裝的LED套,然後把金色的面板兼上蓋板,用M3 10mm的螺絲固定,A501完成!!
 
   
 
  LED套塞入孔中
 
  上圖:開關加上一個X2電容
 
  完成!所有走線請用束線帶綁好,整齊美觀
 
   
  試聽
 
  • 終於,等了一年又一個月,傳說中的LUXKIT A501終於要發聲了……
 
  • 接上自製的6H30前級,切到AB類,打開電源,LED閃爍…..亮起!可以聽到來自真空管前級的嘶哼聲,正常。拿出Jazz at the Pawnshop,Play…..哇!非常正點的音質,音場解析都很好,低音也夠沈,體質相當不錯!高音跟低音很緊,這是正常現象,Run一陣子就好了。
  • 當然對那嘶哼聲有點懷疑,於是改接上自製的被動前級,再度開機,ㄟ/?怎麼沒聲音了?連耳朵貼在喇叭上,都聽不到任何雜音,靜悄悄∼∼
  • 播放CD,美妙的音樂聲流出;不加前級,A501也可以爆棚喔!聲音也愈來愈順!再聽聽看A類的音質吧。切到A類,再開機,嗯!高頻質感很顯然有進步,整體的厚度增加很多!此時機器很熱很熱,而且變壓器會傳出一點點震動的聲音,或許避震上還有改進的空間。
  • A501真是一部名不虛傳的超級套件,從研究,焊接,組裝,到聆聽,每一個步驟,都可以帶給我非常多的樂趣!希望大家,能夠好好的享受A501,聽到老應該也不會膩喔!